Home
About Us
Corporate Overview
Certificate
Organizational Structure
Subsidiaries
Our Portfolio
Aircraft
Aerostructure
Aircraft & Engine Services
Engineering Services & Weapon System
Info
News
Press Release
Procurement Info
Photo Gallery
Video Gallery
Contact
EN
ID
Procurement Info
Search
Home
Media /
Procurement Info
Detail
August 04th, 2025
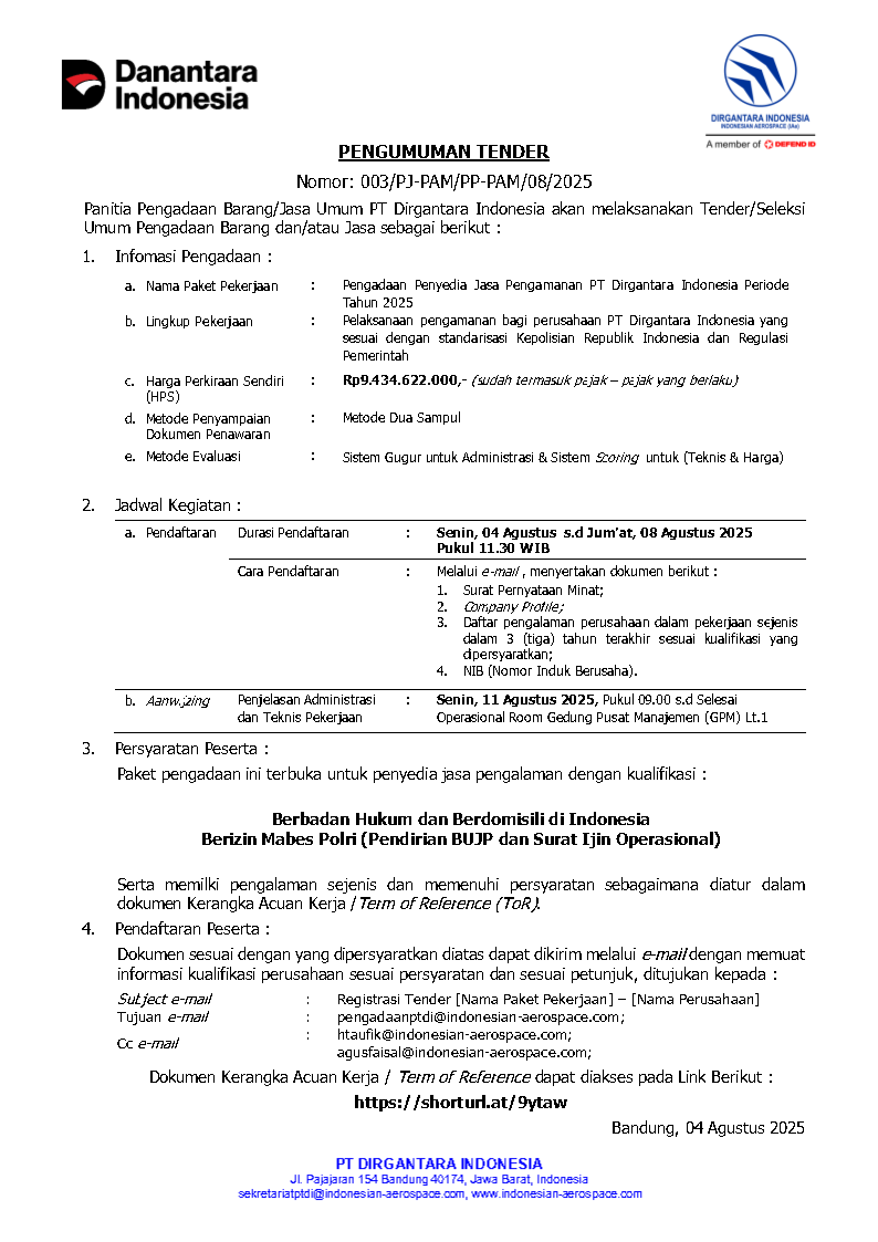
PENGUMUMAN TENDER/SELEKSI UMUM PENGADAAN PENYEDIA JASA PENGAMANAN PT DIRGANTARA INDONESIA PERIODE TAHUN 2025
February 24th, 2026
PENGUMUMAN PEMBUKAAN PENDAFTARAN TENDER / SELEKSI UMUM PENGADAAN TEKNOLOGI REFRESHMENT INFRASTRUKTUR JARINGAN HANGGAR FINAL ASSEMBLY LINE (FAL) N219 PT DIRGANTARA INDONESIA
December 18th, 2025
PENGUMUMAN PEMBUKAAN PENDAFTARAN TENDER / SELEKSI UMUM PENGADAAN PEMBAHARUAN INFRASTRUKTUR SAP & DRC UNTUK PESAWAT N219 DAN PRODUK PESAWAT LAINNYA
December 03rd, 2025
PEMBUKAAN PENDAFTARAN TENDER / SELEKSI UMUM PENGADAAN JASA PENGAMANAN PT DIRGANTARA INDONESIA PERIODE TAHUN 2026
November 14th, 2025
PENGUMUMAN RE-TENDER PENGADAAN ROBOTIC DRILLING SYSTEM PROGRAM PESAWAT N219
August 22nd, 2025
Pengumuman Tender Pengadaan Robotic Drilling System Program N219
August 04th, 2025
PENGUMUMAN TENDER/SELEKSI UMUM PENGADAAN PENYEDIA JASA PENGAMANAN PT DIRGANTARA INDONESIA PERIODE TAHUN 2025
July 30th, 2025
OPEN TENDER JIG PLATFORM & JIG WING N219
July 18th, 2025
Publikasi Pembukaan Pendaftaran Pengadaan Infrastruktur Cyber Security PT Dirgantara Indonesia
June 12th, 2025
Perpanjangan Pendaftaran Pengadaan Jasa Pelaksanaan Konstruksi Ekpansi Hanggar Untuk Final Assembly Line (FAL) Pesawat Terbang N219 PT Dirgantara Indonesia
June 02nd, 2025
Publikasi Pembukaan Pengadaan Jasa Pelaksanaan Konstruksi Ekpansi Hanggar Untuk Final Assembly Line (FAL) Pesawat Terbang N219 PT Dirgantara Indonesia
Search Procurement
Keyword
Period Date
Clear
Search